成果介绍
Assessing the product quality and biological activities of barley (Hordeum vulgare L.) grasses at different harvest times
2022年3月,黄漫网站
食品营养健康工程与智能化加工研究中心闫景坤教授(第一作者)在国际食品期刊《Food Bioscience》(IF: 5.318, 中科院二区)发表了题为“Assessing the product quality and biological activities of barley (Hordeum vulgare L.) grasses at different harvest times”的研究论文。

内容导读
大麦 (Hordeum vulgare L.),一年生大麦属禾本科植物,是世界上最古老的作物之一,仅次于小麦、大米和玉米的第四大谷物。大麦苗(Barley grass,BG),指进入生殖阶段前的幼苗,由根茎和叶组成。研究表明,大麦苗富含多酚、类黄酮、生物碱、叶绿素、蛋白质、矿物质、维生素E和其他有益于人体的物质。大量动物实验和人体实验表明,大麦苗具有广泛的生物活性和健康益处,包括免疫调节、抗氧化、预防肥胖、抗高脂血症、抗糖尿病以及抗抑郁功能。在传统上,大麦苗常用于治疗炎症和心血管疾病。
目前,大麦苗已经成为日本、韩国和中国流行的功能性食品。在国际上,已经开发出了一系列大麦苗相关产品,如麦绿素、大麦苗粉、大麦苗饮料等,例如日本著名的“Aojiru”饮料主要成分即为2周龄大麦苗粉。然而,研究表明,大麦苗的生长环境及收割时间对其多酚含量和抗氧化潜力具有显著影响。因此,阐明不同阶段大麦苗主要植物化学成分、产品质量和生物活性变化对其相关键康产品研发有重要意义。

图1 从幼苗到抽穗的8个收割期的大麦苗
本文以大麦苗四个主要生长阶段(幼苗期、分蘖期、拔节期和抽穗期)的8个不同收割时间样品为对象,评价不同生长时期大麦苗的基本组成、植物化学成分、色泽和生物活性的变化规律,揭示大麦苗理化特征与生物活性的潜在关系。为明确高生理活性大麦苗的采收期,提高大麦苗的应用价值和健康产品开发提供理论参考。

图2 不同生长期大麦苗的总酚(A)、总黄酮(B)及叶绿素(C)含量

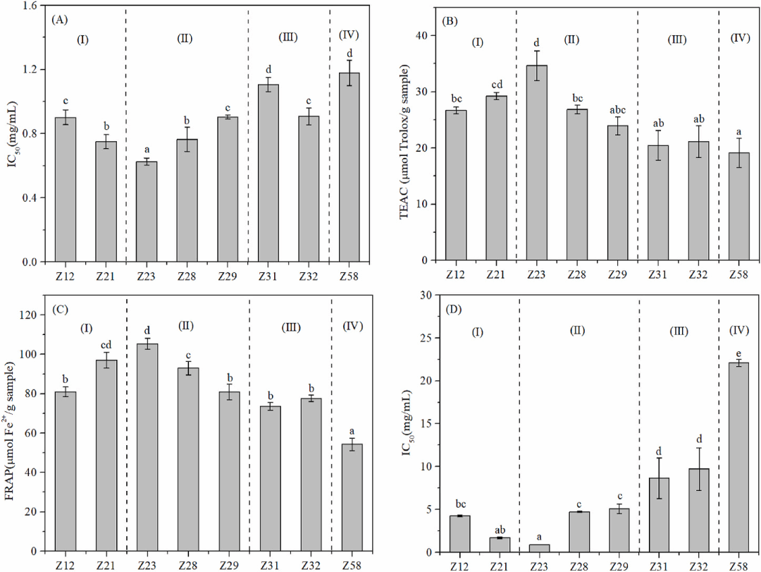
图3 不同生长期大麦苗的DPPH自由基清除活性(A)、总抗氧化能力(B)、铁离子还原能力(C)和α-葡萄糖苷酶抑制活性(D)
结果表明,大麦苗的生长时期显著影响大麦苗的基本组成、色泽和氨基酸组成。大麦苗的体外生物活性与总酚含量、总黄酮含量、蛋白质含量和总氨基酸含量成正相关的关系。其中,在苗期Z21和分蘖初期Z23采收的大麦苗总酚含量和总黄酮含量均高于其他组的大麦苗,并显示出较高的抗氧化能力和α-葡萄糖苷酶抑制活性。这项研究工作表明分蘖早期是大麦苗较好的采收时期,具有良好的产品质量和生物活性。
作者简介

闫景坤,博士,特聘教授,硕士生导师。主要从事食品碳水化合物的功能化修饰改性及生物大分子相互作用等的研究工作。兼职中国菌物学会桑黄产业分会理事,江苏省苏北发展特聘专家,江苏省“企业创新岗”特聘专家(科技副总)。主持国家自然科学基金、江苏省自然科学基金、江苏省现代农业重点研发计划、江苏省苏北科技专项等国家、省部级项目10余项。以第一/通讯作者发表SCI论文70多篇,入选ESI高被引6篇,ESI热点2篇,个人H因子26,被引近3000次,50多个国内外学术期刊的审稿人,书章2篇,获授权国家发明专利7项,已转让5项。